水处理药剂专业生产商
联系我们
销售热线:0632-5113088
外贸电话:0632-5113066
公司传真:0632-5113155
公司地址:山东省枣庄市市中区水处理剂产业园(十里泉东路1号)
E-mail:th@thwater.com
外贸电话:0632-5113066
公司传真:0632-5113155
公司地址:山东省枣庄市市中区水处理剂产业园(十里泉东路1号)
E-mail:th@thwater.com
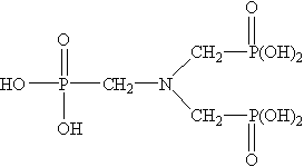
氨基三甲叉膦酸 ATMP
别名:氨基三亚甲基膦酸 CAS No. 6419-19-8
分子式 N(CH2PO3H2)3 相对分子质量:299.05
结构式

一、性能与用途:
ATMP具有良好的螯合、低限抑制及晶格畸变作用。可阻止水中成垢盐类形成水垢,特别是碳酸钙垢的形成。ATMP在水中化学性质稳定,不易水解。在水中浓度较高时,有良好的缓蚀效果。
ATMP用于火力发电厂、炼油厂的循环冷却水、油田回注水系统。可以起到减少金属设备或管路腐蚀和结垢的作用。ATMP在纺织印染等行业用作金属离子螯合剂,也可用于金属表面处理剂等。
ATMP固体为白色颗粒状,易溶于水,易吸潮,易于运输和使用,尤其适用于冬季严寒地区。
二、技术指标
| 项 目 | 指 标 | |
| 符合HG/T 2841-2023 | 符合Q/SDTH 0071—2023 | |
| 外 观 | 无色或微黄色透明液体 | 白色晶体 |
| 活性组分(以ATMP计) /% | ≥50 | ≥95.0 |
| 氨基三甲叉膦酸含量/% | ≥40 | ≥88.0 |
| 钙螯合值(以CaCO3计))/(mg/g) | ≥400 | -- |
| 总无机磷酸(以PO43-计)含量/% | ≤3.5 | -- |
| 磷酸(以PO43-计) /% | -- | ≤0.8 |
| 氯化物(以Cl-计)/% | ≤1.0 | ≤1.0 |
| pH(1%水溶液) | ≤2.0 | ≤2.0 |
| 密度(20℃) /g·cm-3 | ≥1.30 | -- |
| 铁(以Fe计)含量/(ug/g) | ≤20.0 | ≤20.0 |
三、使用方法
ATMP常与其它有机膦酸、聚羧酸或盐等复配成有机水处理剂,用于各种不同水质条件下的循环冷却水系统。用量以1~20mg/L为佳;作使用时,用量为20~60mg/L。
四、包装与贮存
ATMP液体用塑料桶包装,每桶30kg或250kg;ATMP固体用内衬聚乙烯袋的塑料编织袋包装,每袋净重25kg,也可根据用户需要确定。贮于室内阴凉通风处,防潮、严防曝晒,贮存期十二个月。
五、安全防护
ATMP为酸性,操作时注意劳动保护,应避免与皮肤、眼睛等接触,接触后应立即用大量清水冲洗。
