水处理药剂专业生产商
联系我们
销售热线:0632-5113088
外贸电话:0632-5113066
公司传真:0632-5113155
公司地址:山东省枣庄市市中区水处理剂产业园(十里泉东路1号)
E-mail:th@thwater.com
外贸电话:0632-5113066
公司传真:0632-5113155
公司地址:山东省枣庄市市中区水处理剂产业园(十里泉东路1号)
E-mail:th@thwater.com
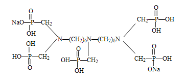
双1,6-亚己基三胺五甲叉膦酸钠 BHMTPh·PN (Na2)
别名:二己烯三胺五亚甲基膦酸钠 CAS No. 35657-77-3
分子式 C17H42O15N3P5Na2 相对分子质量:约731
结构式
一、产品性能
BHMTPh•PN(Na2)是高效的螯合型,对碳酸盐垢和硫酸盐垢具有良好的阻垢效果。在较宽的pH范围和120℃高温下有极佳的水溶性和热稳定性,对钙离子容忍度高。BHMTPh•PN(Na2)是油田水处理中的缓蚀,工业循环冷却水和锅炉水的阻垢。
二、质量指标
| 项 目 | 指 标 |
| 外 观 | 深棕色液体 |
| 活性组分(以BHMTPMPA计) /% | 35.0~39.0 |
| pH值(1%水溶液) | 2.5~4.5 |
| 密度(20℃)/g·cm-3 | 1.21~1.31 |
| Fe含量(以Fe计) /mg·L-1 | ≤65.0 |
三、使用方法
单独使用或与配合使用。
四、包装与储存
BHMTPh•PN(Na2)用塑料桶包装,每桶25Kg或根据用户需要确定。贮于室内阴凉处,贮存期为十个月。
五、安全防护
BHMTPh•PN(Na2)为弱酸性,操作时注意劳动保护,应避免与皮肤、眼睛等接触,接触后用大量清水冲洗。
