水处理药剂专业生产商
联系我们
销售热线:0632-5113088
外贸电话:0632-5113066
公司传真:0632-5113155
公司地址:山东省枣庄市市中区水处理剂产业园(十里泉东路1号)
E-mail:th@thwater.com
外贸电话:0632-5113066
公司传真:0632-5113155
公司地址:山东省枣庄市市中区水处理剂产业园(十里泉东路1号)
E-mail:th@thwater.com
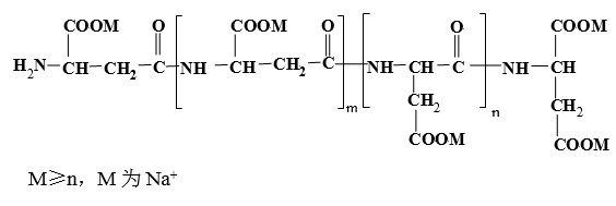
聚天冬氨酸(钠)PASP
CAS No. 181828-06-8,35608-40-6
分子式:C4H6NO3(C4H5NO3)C4H6NO4 相对分子质量:1000-5000
结构式
一、产品性能
PASP为水溶性聚合物,是一种新型绿色水处理剂,具有无磷、无毒、无公害和可完全生物降解的特性。对离子有极强的螯合能力,具有缓蚀与阻垢双重功效,对碳酸钙、硫酸钙、硫酸钡、磷酸钙等成垢盐类具有良好的阻垢效果,对碳酸钙的阻垢率可达100%。PASP同时具有分散作用并可有效防止金属设备的腐蚀。
PASP可替代含磷的水处理剂,以避免水体的富营养化和排放二次污染。
二、技术指标 符合HG/T3822-2006
| 项 目 | 指 标 |
| 外 观 | 黄色至红棕色液体 |
| 固体含量/% | ≥40.0 |
| pH值(1%水溶液) | 9.0~11.0 |
| 密度(20℃)/g·cm-3 | ≥1.20 |
三、应用范围
1、PASP作为阻垢广泛用于工业循环水、锅炉水、反渗透水、油田水、海水淡化等水处理领域,在高硬度、高碱度、高PH、高浓缩倍数系统中表现卓越,PASP阻垢效果优于常用含膦阻垢剂。PASP与PBTCA复配后有增效作用。
2、PASP由于绿色环保的特性,PASP品可作为新型的日化助剂和各种无毒、无污染的专用精细化学品。
3、PASP在农业上可以作养分吸收增强剂,促进蔬菜、瓜果、花卉等农作物的生产,同时与农药并用可提高药效。
四、包装与贮存
PASP用塑料桶包装,每桶25kg或250kg,也可根据用户需要确定。PASP贮于室内阴凉处,贮存期十个月。
五、安全防护
PASP为碱性,操作时注意劳动保护,应避免与皮肤、眼睛等接触,接触后用大量清水冲洗。
